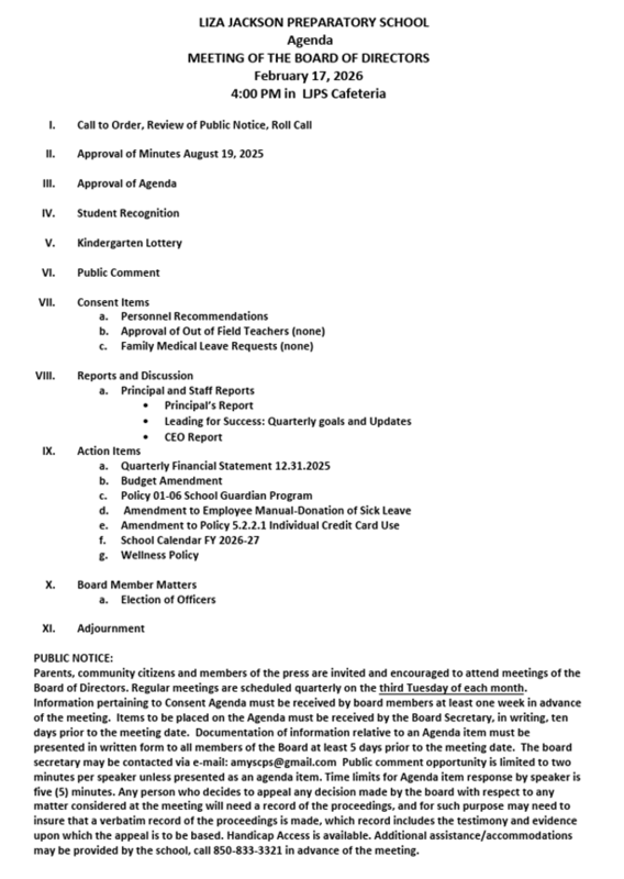
Board meeting agenda

You're invited to attend our Board Meeting

🗓 Date: February 17, 2026

🕓Time:4 PM

📍Location: LJPS Cafeteria

Feb 17 agenda